분자 가상합성: moleculer building block assembly
인공지능 신약개발을 처음 공부할 때, 정작 기존까지 신약개발에 사용되는 방법들을 제대로 몰랐습니다.
기존 방식이 무엇인지, 장점이 무엇이고 왜 그런 방법을 사용하고 있는지, 무슨 문제가 있는지... 이런것들을 전혀 모르고 시작하다보니 참 답답한 생각이 많이 들었습니다. 그중 하나가 실제로 합성하는 사람들은 분자를 어떻게 합성하는지 궁금했습니다.
유기합성하시는 분을 처음 만났을 때 그 의문이 풀렸습니다.
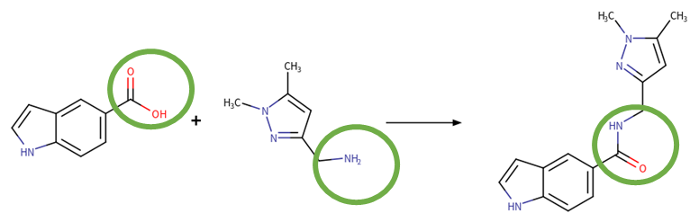
합성할 분자를 3~4조각 정도로 쪼개서, 그 조각들이 판매되는 building block 라이브러리에 있는지 확인하고, 있다면 그 조각들을 구매해서 합성하는 것이었습니다. 완성된 분자를 거꾸로 빌딩블록 단위로 쪼개서 합성 경로를 추정하는 것을 역합성 (retrosynthesis) 이라고 합니다. 당연히 합성 경로는 하나만 존재하는 것이 아니고, 경로마다 재료 물질이 다르고, 비용과 수율도 달라집니다. 실험을 위해 소량만 생산하는 경우와, 대량 생산을 위한 경우에 대해서 적절한 합성방법이 다를 수도 있습니다.
그때 한가지 아이디어를 생각해냈습니다. 차라리 building block 라이브러리들로부터, 서로 반응을 일으켜서 붙을 수 있는 부분들을 찾아서 가상합성하면 굳이 인공지능 생성모델을 쓰는 것보다 더 합성 난이도가 낮지 않을까? 라는 생각이 들었습니다.

이런 과정들을 building block 분자에 대해서 반복한다면 대규모의 가상 분자 라이브러리를 만들어낼 수 있습니다.

그래서 찾아봤는데... 이미 ZINC에 그렇게 만들어진 분자들이 잔뜩 등록되어있었습니다.
ZINC에서 가장 많은 분자를 공급하는 벤더인 Enamine의 REAL 라이브러리가 그렇게 만들어진 것입니다.
물론 Enamine REAL이 모든 분자를 포함하고 있지 않고, 여전히 개선할 여지가 있습니다.
당시엔 반응식들을 구하지 못해서 인공지능으로 반응을 예측하려 했는데, 알고보니 제가 봤던 논문중에 보충자료에 반응식이 포함된 논문이 있었습니다. 그걸 합성하시는 분이 알려주셔서 2 년 후에야 알았네요.
합성 전문가나 의약화학자의 도움 없이 인공지능만으로 의미있는 일이 나올 수 있을까요?
https://pubs.acs.org/doi/10.1021/ci200379p
A Collection of Robust Organic Synthesis Reactions for In Silico Molecule Design
A focused collection of organic synthesis reactions for computer-based molecule construction is presented. It is inspired by real-world chemistry and has been compiled in close collaboration with medicinal chemists to achieve high practical relevance. Virt
pubs.acs.org
supporting information 다운로드 링크
https://ndownloader.figstatic.com/collections/2526745/versions/1
아무튼 몇년전부터 미뤄둔 일을 이제야 다시 하고 있습니다. fragment based docking과 함께 사용하면 Enamine REAL을 탐색하는 것보다 더 효율적일 것 같습니다.
tree search부분에서 docking 스코어를 리워드로 주면서 강화학습을 도입할 수도 있습니다. 여기에 쓰려고 fragment based local docking 같은거 2년전에 만들어놨는데...